CASE REPORT
JOP. J Pancreas (Online) 2010 Sep 6; 11(5):467-469.
Selective Whole Blood Lipoprotein Apheresis to Prevent Pancreatitis in Drug Refractory Hypertriglyceridemia
Anders Hovland1,3, Randolf Hardersen1, Tom Eirik Mollnes2,4, Knut Tore Lappegård1,3
1Department of Internal Medicine and 2Somatic Research Laboratory, Nordland Hospital. Bodø, Norway. Institutes of 3Clinical Medicine and 4Medical Biology, University of Tromsø. Tromsø, Norway
ABSTRACT
Context Severe hypertriglyceridemia is a known cause of acute pancreatitis, and apheresis treatment, most commonly plasmapheresis, has been used to treat patients with drug refractory hypetriglyceridemia for more than 30 years. Case report We report a case in which a woman with Crohn’s disease and type 2 diabetes mellitus developed recurrent episodes of acute pancreatitis due to extreme hypertriglyceridemia. After the initiation of lipoprotein apheresis from whole blood, a marked reduction of triglyceride and lipoprotein levels was observed. Some inflammatory parameters were increased even if most of the cytokines were not detectable, indicating good biocompatibility of the filter. Conclusions Triglyceride levels were lowered after initiating selective lipoprotein apheresis. More importantly, the patient did not experience any relapses of pancreatitis after the treatment was started. Hence this treatment is feasible in drug refractory hypertiglyceridemia, but the treatment concept needs to be tested in additional studies.
INTRODUCTION
Severe hypertriglyceridemia is known to cause acute pancreatitis, perhaps however at higher levels of triglycerides than previously thought [1]. Several mechanisms for the disease have been proposed, including the hydrolysis of triglycerides forming free fatty acids inducing inflammation, chylomicrons inducing hyperviscosity leading to ischemia, and finally genetic predisposition [2, 3]. Furthermore, cytokines seem to play a pivotal role in acute pancreatitis including the systemic responses [4]. Apheresis for lowering triglyceride levels was first reported in 1978 [5], and plasmapheresis has since then been used for refractory hypertriglyceridemia [6, 7]. We report a case in which a patient with drug refractory hypertriglyceridemia and recurrent episodes of pancreatitis was treated with direct adsorption of lipoprotein during hemoperfusion, and we present its effect on the lipid profile, cytokines and clinical course.
CASE REPORT
A 24-year-old woman was diagnosed with Crohn’s disease in 1983 and treated with salazopyrine for two years. The inflammatory bowel disease was stable for the next twenty years. Abdominal ultrasound scans demonstrated hepatic steatosis. In 2008, an ileocecal resection was performed due to stenosis in the terminal ileum. Her inflammatory bowel disease has been stable without medication since then.
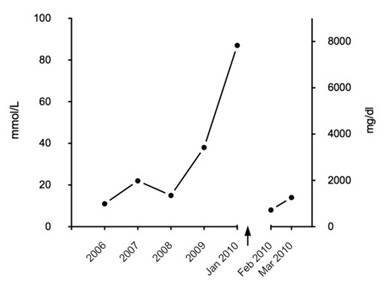
In 1997, she was diagnosed with hypertriglyceridemia with a serum triglyceride level of 17 mmol/L (reference range: 0.5-2.6 mmol/L; or 1,513 mg/dL, reference range: 44-230 mg/dL), and was started on omega-3 fatty acids (5 g/day). At the same time, type 2 diabetes was detected, and metformin and subcutaneous insulin were started. No other causes of the hypertriglyceridemia were found, and there were no signs of hereditary hypertriglyceridemia. Due to poor control of her hypertriglyceridemia, she was started on bezafibrate and she was eventually switched to fenofibrate (200 mg once daily) due to muscle pain from the bezafibrate and, in 2008, she was also started on nicotinic acid. From 1997 to 2008, her triglyceride levels were in the range of 5-50 mmol/L (445-4,450 mg/dL). Her hemoglobin A1c was 7.0% (reference range: 4.5-6.0%). She was not overweight and her diet was balanced. In 2007, she developed angina pectoris, and she was treated with percutanous coronary intervention with a stent in her right coronary artery. Her average triglyceride levels increased from 2008 (Figure 1) and, in June 2009, she was admitted to our hospital due to abdominal pain. A CT scan of the abdomen was consistent with acute pancreatitis even though her serum lipase was within normal range. She was treated conventionally including rehydration, and the symptoms were resolved. She was re-hospitalized in September 2009 and January 2010 due to acute pancreatitis diagnosed by CT scans. These episodes were resolved uneventfully as well.

|
Figure 1. Average levels of triglycerides. Values are averaged for 2006 through 2009; the values are then averaged for the first three months of 2010. The black arrow below the x-axis indicates the start of apheresis treatments in the latter part of January 2010. |
|
|
Due to the unsatisfactory control of her triglyceride levels as well as recurrent episodes of pancreatitis, it was decided to start apheresis treatment. In January 2010 a venous catheter was surgically inserted in her right internal jugular vein. Her first whole blood apheresis was performed at the end of January 2010. We used a Liposorber® D DL-75 column (Kaneka Co., Osaka, Japan) with a Kaneka MA-03 (Kaneka Co., Osaka, Japan) machine. DL-75 is a whole blood adsorption filter and part of the Liposorber® D system. This filter utilizes dextran sulphate cellulose beads for adsorption of lipoprotein. It can be modified according to particle size and allows perfusion and adsorption of lipoproteins directly from whole blood. Anticoagulation is mandatory during apheresis treatment, and acid citrate dextrose-A was used. Due to the known calcium lowering effect of this anticoagulant, intravenous calciumcloride was administered during the treatment. The first treatment was carried out for 60 minutes (whole blood volume 3,500 mL), only to determine how the treatment was tolerated; subsequently, lipoprotein apheresis duration was approximately two hours (whole blood volumes more than 6,000 mL). Treatment was performed weekly. The first three complete aphereses were monitored closely, including lipoprotein and cytokine measurements.
Triglyceride levels and total cholesterol were reduced by about one third. Cytokines were measured using a multiplex assay contatining 27 different inflammatory mediators: IL (interleukin) 1 beta (IL-1beta), IL-1 receptor antagonist (IL-1ra), IL-2, IL-4, IL-5, IL-6, IL-7, IL-8 (CXCL8), IL-9, IL-10, IL-12, IL-13, IL-15, IL-17, eotaxin (CCL11), basic fibroblast growth factor (FGF), G-CSF, GM-CSF, IFN-gamma, chemokine (C-X-C motif) ligand 10 (IP-10 or CXCL10), monocyte chemoattractant protein 1 (MCP-1 or CCL2), macrophage inflammatory protein 1-alpha (MIP-1 alpha; or CCL3), MIP-1 beta (or CCL4), platelet derived growth factor (PDGF), regulated upon activation T cell expressed and secreted (RANTES or CCL5), TNF-alpha and vascular endothelial growth factor (VEGF). Most of the cytokines, including TNF-alpha and IL-6, were below the detection limits whereas IP-10 and MIP-1 beta showed a consistent increase during the apheresis procedure (Table 1).
The patient did not experience any side effects from the treatment and, up to the writing of this paper (June 2010), she has not had any relapses of pancreatitis.
|
Table 1. Changes in laboratory parameters before and after the three first apheresis treatments. |
|||||||||
|
|
Apheresis 1 |
Apheresis 2 |
Apheresis 3 |
||||||
|
|
Before |
After |
Change |
Before |
After |
Change |
Before |
After |
Change |
|
Total
cholesterol (mmol/L) |
8.2 |
6.6 |
-20% |
8.1 |
5.1 |
-37% |
5.8 |
3.7 |
-36% |
|
Triglycerides
(mmol/L) |
21 |
17 |
-19% |
17 |
11 |
-35% |
12 |
8 |
-30% |
|
Chemokine ligand 10 (IP-10; ng/L) |
874 |
3,391 |
+288% |
923 |
3,042 |
+230% |
814 |
3,195 |
+292% |
|
Macrophage inflammatory protein (MIP) 1-beta (ng/L) |
33.6 |
71.9 |
+114% |
24.6 |
68.9 |
+180% |
17.7 |
85.1 |
+382% |
DISCUSSION
We report a case in which a patient with hitherto uncontrolled hypertriglyceridemia and several episodes of acute pancreatitis had her triglyceride levels reduced to less than 20 mmol/L (1,780 mg/dL) with whole blood lipoprotein apheresis without recurrent episodes of pancreatitis. To our knowledge, this is the first case which describes repeated selective lipoprotein apheresis from whole blood in hypertriglyceridemia.
In Crohn’s disease, there is an increased risk of pancreatitis, even in the absence of gallstones or medications prone to causing pancreatitis, and the pathogenesis is thought to be immunological [8]. However, although our patient had previously been diagnosed with Crohn’s disease, she had not received any treatment for this until this study, and reported no symptoms relevant to Crohn’s disease. Therefore, it is unlikely that the recurrent episodes of pancratitis were linked to her inflammatory bowel disease.
Most reports on apheresis associated with hypertriglyceridemia deal with plasmapheresis which typically lowers triglyceride levels by 60-70% in one session [6, 7, 9]. However, single and double filtration plasmapheresis do not selectively remove lipoproteins and triglycerides, and hence coagulation factors and immunoglobulins also are removed with possible adverse events including infections. Thus, we chose an approach with selective lipoprotein apheresis, although the treatment is not as effective for lowering triglycerides as the plasmapheresis techniques. However, until now triglyceride levels in our patient have been markedly reduced, and she has not experienced any more episodes of pancreatitis.
Cytokines play a role in the inflammatory response associated with acute pancreatitis [4] and our group has previously shown that different apheresis columns affect inflammatory biomarkers differently in patients with familial hypercholesterolemia [10]. In the current patient, we measured a wide range of inflammatory mediators. Most of the mediators were below the detection limit both before and after apheresis. However, IP-10 and MIP-1 beta increased 2-6-fold after apheresis. Whether this has any clinical relevance is uncertain, but it has recently been demonstrated that tumor necrosis factor promoter polymorphism plays a role in hypertriglyceridemia pancreatitis [11]. Thus, how the apheresis columns handle inflammatory biomarkers may be of interest. The fact that our patient had undetectable levels of TNF does not rule out a role for this mediator in acute pancreatitis as our samples were not collected during active inflammation.
In conclusion, we have shown that selective whole blood lipoprotein apheresis is feasible for hypertriglyceridemia, resulting in a moderate reduction iof triglyceride levels and apparent protection from pancreatitis without the undesired consequences of ordinary plasmapheresis.
Received May 24th, 2010 - Accepted July 13th, 2010
Key words Blood Component Removal; Cytokines; Hypertriglyceridemia; Inflammation; Pancreatitis
Abbreviations MIP: macrophage inflammatory protein
Conflicts of interest There are neither conflicts of interest nor sources of fincancial support to declare
Correspondence
Anders
Hovland
Department of Internal Medicine
Nordland Hospital
Prinsens Gate 164
8092 Bodø
Norway
Institute of Clinical Medicine, University of Tromsø
Universitetsvegen 36
9037 Tromsø
Norway
Phone: +47-75.534.000
Fax: +47-75.534.742
E-mail: anders.w.hovland@gmail.com
References
1. Lloret Linares C, Pelletier AL, Czernichow S, Vergnaud AC, Bonnefont-Rousselot D, Levy P, et al. Acute pancreatitis in a cohort of 129 patients referred for severe hypertriglyceridemia. Pancreas 2008; 37:13-8. [PMID 18580438]
2. Ewald N, Hardt PD, Kloer HU. Severe hypertriglyceridemia and pancreatitis: presentation and management. Curr Opin Lipid 2009; 20:497-504. [PMID 19770656]
3. Tsuang W, Navaneethan U, Ruiz L, Palascak JB, Gelrud A. Hypertriglyceridemic pancreatitis: presentation and management. Am J Gastroenterol 2009; 104:984-91. [PMID 19293788]
4. Escobar J, Pereda J, Arduini A, Sandoval J, Sabater L, Aparisi L, et al. Cross-talk between oxidative stress and pro-inflammatory cytokines in acute pancreatitis: a key role for protein phosphatases. Curr Pharm Des 2009; 15:3027-42. [PMID 19754377]
5. Betteridge DJ, Bakowski M, Taylor KG, Reckless JP, de Silva SR, Galton DJ. Treatment of severe diabetic hypertriglyceridaemia by plasma exchange. Lancet 1978; 1:1368. [PMID 78139]
6. Piolot A, Nadler F, Cavallero E, Coquard JL, Jacotot B. Prevention of recurrent acute pancreatitis in patients with severe hypertriglyceridemia: value of regular plasmapheresis. Pancreas 1996; 13:96-9. [PMID 8783340]
7. Kadikoylu G, Yavasoglu I, Bolaman Z. Plasma exchange in severe hypertriglyceridemia a clinical study. Transfus Apher Sci 2006; 34:253-7 [PMID 16798091]
8. Pitchumoni CS, Rubin A, Das K. Pancreatitis in inflammatory bowel diseases. J Cllin Gastroenterol 2010; 44:246-53. [PMID 20087199]
9. Yeh JH, Chen JH, Chiu HC. Plasmapheresis for hyperlipidemic pancreatitis. J Clin Apher 2003; 18:181-5. [PMID 14699594]
10. Hovland A, Hardersen R, Sexton J, Mollnes TE, Lappegård KT. Different inflammatory responses induced by three LDL-lowering apheresis columns. J Clin Apher 2009; 24:247-53. [PMID 19927364]
11. Chang YT, Chang MC, Su TC, Liang PC, Su YN, Kuo CH, et al. Association of cystic fibrosis transmembrane conductance regulator (CFTR) mutation/variant/haplotype and tumor necrosis factor (TNF) promoter polymorphism in hyperlipidemic pancreatitis. Clin Chem 2008; 54:131-8. [PMID 17981921]